Poliksetooniumkloriid
Tootekirjeldus
Poliksetooniumkloriid lõhub mikroorganismide rakumembraane, põhjustades nende inaktiveerimise. Selle laia toimespektriga antimikroobne toime muudab selle populaarseks valikuks toodete mikroobse stabiilsuse tagamiseks, nende säilivusaja pikendamiseks ja saastumise riski vähendamiseks. Seda kasutatakse ka vetikatõrjevahendina, see on väga tõhus laia toimespektriga boitsiid. tööstuslike veejahutussüsteemide, õhupesurite ja kaubanduslike basseinide töötlemine.
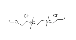
Selle varjunimed on polü(oksüetüleen(dimetüüliminio)etüleen-(dimetüüliminio)etüleendikloriid),Busan 77, Mbc 115, BL 2142,Bualta ja Bubond 60. Selle CAS-number on 31512-74-0. Molekulaarvalem on (C)10H24N2O)n•Cl2.
Struktuuri valem

Toote spetsifikatsioon
|
Füüsiline kirjeldus |
Helepruun läbipaistev viskoosne vedelik |
|
tahke sisaldus, % |
Suurem või võrdne 59.{1}} |
|
pH väärtus |
6.0 – 8.0 |
|
Tihedus, g/cm3 |
1.10-1.20 |
Toote rakendus
Erinevalt tavapärastest kvaternaarsetest ammooniumsooladest ei tekita see toode isegi suure kontsentratsiooni korral mullid ega mõjuta liiva, kobediatomiitmulla ega muud tüüpi filtrite kasutamist. See on vahuvaba, mittetoksiline, mitteärritav, stabiilne ja ohutu kasutada, mistõttu on see ideaalne vahend basseinide, spaade, maastikuveekogude ja muude kohtade jaoks.
Toote pakend ja ladustamine
(1) 220 kg PE trumli kohta või 1100 kg IBC kohta.
(2) Pakkige ja säilitage toode suletud, jahedas ja kuivas olekus ning vältige kokkupuudet tugevate oksüdeerijatega.
(3) Kehtivusaeg: kaks aastat.
Kuum tags: poliksetooniumkloriid, Hiina poliksetooniumkloriidi tootjad, tarnijad, tehas

